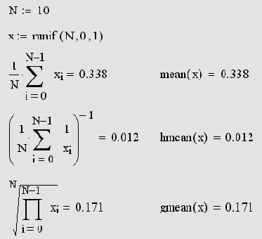
Вычисление различных средних значений



Листинг 14.15. Вычисление различных средних значений

Вычисление различных средних значений






Содержание раздела